Poor Heater TSB outcomes
I have a 2008 XLS and having problems with my heater to.. Even if I let it warm up at like 20-22 degrees, it will still be cold air, it does warm up on the higway and when at a light with the temp at 20-22 and the fan very low it loses all of its heat. Is anyone else having this problem with the 08's? Really sucks today because it is like -39 out and do not want to drive anywhere.
I took it to the dealership the other day and they said it was a sensor, but any other vehicle I had warmed up and was very hot not matter what the tempature was. My last vehicle when started at -40, and had the temp set to 32 actually got up to that heat and stayed there, with the outlander when set to 32 it does not even get close to that, it seems warmer outside than inside.
Any suggestions?????
I took it to the dealership the other day and they said it was a sensor, but any other vehicle I had warmed up and was very hot not matter what the tempature was. My last vehicle when started at -40, and had the temp set to 32 actually got up to that heat and stayed there, with the outlander when set to 32 it does not even get close to that, it seems warmer outside than inside.
Any suggestions?????
I'm from Canada and most if not all Outlander owners are complaining up here. I've even seen people putting cardboard in front of their brand new rides. Not acceptable and doesn't do a damn thing as this is not where our issues lies. Our engines create plenty of heat, its a low idle issue. Outlanders seem to idle as low as 500rpms when stopped in drive. Reduced temperatures at a lower idle are expected, that is a valid point, but NOT cold air to the touch which is what is happening to most. Leave any Ford idling for 45 minutes with heater on max and you can smell melting plastic. Leave most Outlanders idling for 45 minutes and you might be luke warm. I would much rather spend a few more dollars a month on gas to have the idle increased and be warm.
My dealer notified me that the issue has been acknowledged and that the information was passed onto the engineers which are working with Transport Canada on this.
Curious to know whats different with the members reporting no heater issues here.
My dealer notified me that the issue has been acknowledged and that the information was passed onto the engineers which are working with Transport Canada on this.
Curious to know whats different with the members reporting no heater issues here.
Ok guys not trying to dig up an ancient thread but its the only thing i have been able to find relating to my situation.
I have a 2010 outlander gt that is having the same problem of blowing cold air anywhere I have to come to a stop and the engine is idling. I started noticing the problem when starting with the remote start on cold winter days. I would go out to the car after it had been running for at least 10 min and it would not be very warm and most of the time it would not melt the snow or ice from my windshield. I finally took the car into the dealership and explained my problem and they replaced the thermostat. Got it back and it worked like brand new blew air so hot at idle I didn't know what to do with myself. Then after about a week and a half i had the same issue. Took it to a dealership that was closer to me and they said they were going to have to change the thermostat. Same results. At two weeks i had it back in and asked if there might be another cause to this problem. They told me that they had no other solutions but a thermostat. So I called Mitsubishi. After getting a case number and a winter of not having heat in my car unless I rev the engine at stops, they called me back and said that the temperature drops were within the allowances for the car and everything was normal....This is the way the outlanders are supposed be...If the heat were to stay on it could drain the battery and the car could stall.............(Ya my thoughts exactly) But he went on to explain that the Ac wouldn't do this in the summer because the car will increase the idle speed to accommodate the extra load of the ac compressor. (So why does the car not do this for the heat?)
So what I'm trying to find is someone that owns a 2010 outlander that has the same issue or doesn't have a problem of losing heat at idle when its cold outside. Either way some feedback would be very helpful.
I have a 2010 outlander gt that is having the same problem of blowing cold air anywhere I have to come to a stop and the engine is idling. I started noticing the problem when starting with the remote start on cold winter days. I would go out to the car after it had been running for at least 10 min and it would not be very warm and most of the time it would not melt the snow or ice from my windshield. I finally took the car into the dealership and explained my problem and they replaced the thermostat. Got it back and it worked like brand new blew air so hot at idle I didn't know what to do with myself. Then after about a week and a half i had the same issue. Took it to a dealership that was closer to me and they said they were going to have to change the thermostat. Same results. At two weeks i had it back in and asked if there might be another cause to this problem. They told me that they had no other solutions but a thermostat. So I called Mitsubishi. After getting a case number and a winter of not having heat in my car unless I rev the engine at stops, they called me back and said that the temperature drops were within the allowances for the car and everything was normal....This is the way the outlanders are supposed be...If the heat were to stay on it could drain the battery and the car could stall.............(Ya my thoughts exactly) But he went on to explain that the Ac wouldn't do this in the summer because the car will increase the idle speed to accommodate the extra load of the ac compressor. (So why does the car not do this for the heat?)
So what I'm trying to find is someone that owns a 2010 outlander that has the same issue or doesn't have a problem of losing heat at idle when its cold outside. Either way some feedback would be very helpful.
I have an 07 and same issue. Engine temp is up to normal operating temp and heat is fine once rpm are above 1500 or so. stop at a light, air coming from vents goes from nice and warm to cool in a matter of second. I was told by the dealer that my vehicle had all the updates. I think it is a case of the water pump not making enough pressure at 500 rpm(idle)to provide hot fluid to the heater core. Heat returns almost instantaneously if you rev engine in N at 1500 or more. I am wondering now if I can find some kind of circulating pump that I can put in the heater core supply line. I tried adjusting the idle but just screwed up the computer control of engine. had to re adjust back to factory setting. At idle, I am at about 500-700 rpm. what are you guys at who have had the updates? this is a problem for me even at 0 deg C. Im in Canada as well.
It hasn't been super cold in Winterpeg the last few years with my 2010 Outie XLS. When it's around 5-0C the air coming out gets extremely hot and in cold weather -15ish is seems more than adequate though I usually leave it on front window defrost the whole time which doesn't do a great deal to heat the cabin. When I switch it to cabin or foot well it warms up the inside pretty quick as long as the engine is at operating temp.
They have that idle neutral logic that supposedly shifts the tranny into neutral to save gas when you are stopped, I _though_ I saw that as an option in ETACS, you could try turning that off and seeing if that keeps your idle higher when stopped if you don't mind burning the extra gas. Also while your are stopped you can shift to neutral and give it a little gas to bring the idle up (I did this for a while with my Mazda 3 when it was really cold).
I'm not sure why your car is eating thermostats, I would ask the dealer to check out the cooling system closer or just book a weekly appointment to get a new thermostat installed.
They have that idle neutral logic that supposedly shifts the tranny into neutral to save gas when you are stopped, I _though_ I saw that as an option in ETACS, you could try turning that off and seeing if that keeps your idle higher when stopped if you don't mind burning the extra gas. Also while your are stopped you can shift to neutral and give it a little gas to bring the idle up (I did this for a while with my Mazda 3 when it was really cold).
I'm not sure why your car is eating thermostats, I would ask the dealer to check out the cooling system closer or just book a weekly appointment to get a new thermostat installed.
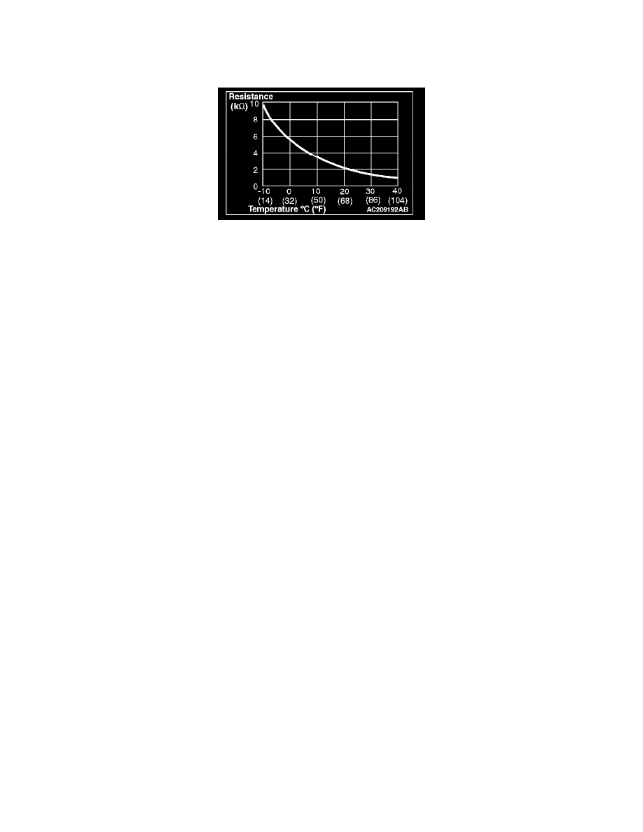
I wonder if adding a resistor inline with the ambient temp sensor would work. The higher the resistance, the colder the truck thinks it is. Although the instrument cluster would read a colder value than reality, it might be enough to fool the ECM into increasing the idle.
"This Technical Service Bulletin advises the steps to reprogram the ECM with new parameters which will allow the engine idle to be increased when
temperatures are below approximately +5°F (-15°C)."
"This Technical Service Bulletin advises the steps to reprogram the ECM with new parameters which will allow the engine idle to be increased when
temperatures are below approximately +5°F (-15°C)."
Last edited by blackb13; Dec 24, 2015 at 12:39 AM.
Since the coolant temp sensor can't tell what the ambient air temperature is, I'd be interested in hearing what potential problems you might be referring to.
Last edited by blackb13; Jan 2, 2016 at 11:21 AM.
It was just a guess, I don't know if at cold start up it expects the coolant to be within a certain range of ambient... I was just saying to get the ECM update first before modifying sensor data is all... It may work perfectly fine for all I know.
I don't have this problem :P
I don't have this problem :P
Thread
Thread Starter
Forum
Replies
Last Post
p4c0
Mitsubishi Montero & Montero Sport
0
Feb 22, 2007 06:36 PM




